健 康 大 法

──自然心理社会协调法

第四章 健康大法的原理

北京理工大学出版社(1992年7月第一版)     何有缘   潘朝东 著
自序 [一] [二] [三] [四] [五] [六] [七] [八] [九] [十] [十一] [附录] 返回目录

宇宙源中隐负熵的发现,为寻找理想健康法提供了强有力的物质基础。我们将沿着健康与负熵相互联系的思路,在统一各种医疗方法的基础上,提出一种新的健康方法。

第一节 人体状态方程

第三章我们曾讨论了健康与熵和关系。如果人体组织和器官之间的信息畅通无阻,处于有序、相对平衡的状态,机体就是健康的。反之,如果机体受内外环境的影响而偏离了正常的平衡态,就有可能产生疾病,这时有序度降低、熵增加。生命是获取负熵流来抵消熵增加而维持有序状态的。薛定谔认识到食物可以产生负熵流,而我们认为宇宙流中的潜负熵和宇宙源中的隐负熵也是人体负熵流的来源(从某种意义上来说,这些负熵对生命更具有决定性的作用),在一定条件下与这些高级负熵流沟通之后,将大大提高机体的自愈能力。但直接与潜负熵沟通既困难又不安全,因此不能作为大众健康方法而广为提倡。如果能与隐负熵沟通,则在极其自然的生活状态下,就可以得到高级负熵流,条件是必须有一个人率先与隐负熵沟通。敬爱的姜老师为我们开辟了这条前进的道路,使广泛传递和安全利用隐负熵信息成为现实。但是,能得到隐负熵信息并不意味着疾病马上就能痊愈(极少数情况除外),还要作出相应的努力才会有效果。同时,我们还应该看到,除了食物和高级负熵流外,还有睡眠、运动(包括按摩)和中西医的许多方法都可以帮助机体恢复有序状态,它们也能让人体输入负熵流。 为了能全面地讨论问题,把各种健康方法统一起来进行分析是很有必要的。

一、耗散结构与熵

19世纪中叶,克劳修斯等人建立的热力学第二定律指出,一个孤立系统,无论其初始条件和历史如何,它的一个状态函数熵将随着时间的推移单调地增加,直至达到热力学平衡态时趋于极大,从而指明了不可逆过程的方向性,即“时间箭头”只能指向熵增加的方向。熵增加意味着信息量减少,混乱程度加强。达尔文提出的生物进化论,所论述的却是系统从无序到有序、信息由少到多的变化,“时间箭头”指向进化。例如,从细胞进化成组织,从组织到器官,再到系统,直至进化成高度发达的大脑,有序性都在依次增强。

这样看来,建立在物理学上的演化方向与建立在生物学上的演化方向似乎是截然相反的:一个是“时间箭头”指向退化,一个是“时间箭头”指向进化。究竟物质世界朝着哪个方向演化呢?为了解决“退化”与“进化”这一矛盾,比利时科学家普利高津经过20多年的研究之后,提出了耗散结构理论。

普利高津首先考察了一些典型系统有关远离平衡态时出现的现象,例如流体力学的贝纳德对流,自化学反应中的别洛索夫-扎鲍廷斯基化学振荡现象,以及激光器的工作原理等。“普利高津概括了这些性质迥然不同的系统在远离平衡态时的共同特点,发现在从平衡态到近平衡态再到远离平衡态的过程中,在达到远离平衡态的非线性区进,一旦系统中的某个参量变化达到一不定期的阈值时,通过涨落,系统可能发生突变,即发生非平衡相变,由原来的无序的混乱状态转变为一种时间、空间或功能方面有序的新的状态。这种有序状态需要不断地与外界交换物质和能量维持,并保持一定的稳定性,且不因外界微小的扰支而消失。这种在远离平衡态的非线性区形成的新的稳定的宏观有序结构,普利高津称之为耗散结构。耗散结构理论说明了开放系统可能从无序状态向新的有序状态转化,从而解决了克劳修斯与达尔文的矛盾。”

一般的生命系统和人体系统就是典型的耗散结构系统。他们的生长、发育、生命的维持和进化都是在不断地与环境进行物质、能量和信息的交换中实现的。通过这种交换,生命体与自身不断产生的混乱(即熵增大倾向)作斗争。人体的生命过程就是不断产生熵和排出熵的过程。

二、人体状态方程

根据普里高津的非平衡热力学理论,系统的熵变化率为: frm4-1.jpg

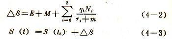
其中,dis是由于系统内部不可逆进程而产生的熵的变化(热力学第二定律认为dis≥0);des是流过系统边界的熵流,对于孤立系统而言,des=0,对于不同的开放系统,des将具有不同的结构。根据上式,并结合人体系统的熵流变化特点,我们给出的下列公式称为人体的状态方程,它是我们今后讨论问题的基石: frm4-2.jpg

其中,e和m人体熵的增加值;ni(i=0,1,2)分别表示显负熵、潜负熵、隐负熵;qi是比例系数,表示人体只能利用各种负熵流的一部分;影响人体系统的各种负熵流来源ni经过某种通道(r+m)“过滤”以后,可以消除人体熵;tb表示在目前时刻t以前的某一时刻。

人体的健康状态取决于在某一时间间隔△t(=t一tb)内的熵变水平△s及人体总熵水平s(t)。假设ε(非常小的正数)是人体处于动态平衡状态时可以承受的总熵水平,则人体的健康水平可由以下两个条件来判定:

① 人体健康的必要条件是△s<0,这意味着系统向着有序方向发展。

② 人体健康的充分条件是s(t)≤ε,这意味着系统处于低熵有序状态之中(低熵是保持人体正常功能所必需的)。

下面对(4—2)式中的各项内容分别加以讨论。

1、人体的熵增 e 和 m

(1)、内熵增 e

我们把人体维持正常生命运动状态所产生的熵增加称为内熵增,也可叫熵产。它不仅包括不可逆化学反应,还应包括扩散、渗透等物理方面的一切不可逆过程所引起的熵的增加。

(2)、外熵增 m

人体的有序结构是在不断地与环境进行物质、能量和信息的交换中得以维持的(为简便起见,有时也把物质、能量、信息简称为mei)。如果这种交换完全是按生命运动的自然规律进行的,那么外熵增m就为零。事实上,m这零是一种极为特殊的理想状况。一般情况下,由于人体受到各种自然环境因素和社会环境因素的影响,与外界交换mei时,或多或少都会产生偏离理想状况的现象,从而引起外熵的增加。可以用下面的公式来描述外熵的增加: frm4-4.jpg

式中,r表示人体与外界交换mei时可以承受的偏离值。外界的不良刺激因素引起的偏离值r并不总是对人体产生增熵作用,只有当r大于机体固有的抗干扰能力r时,才会产生外熵增m。从这个意义上看,也可以把r称为阈值,小于r的外界影响不起增熵作用。对r的偏离程度越大,熵产就越明显,a表示单位偏离所引起的熵变。引起这种偏离的因素很多,我们将在随后的讨论中把他们划分为自然因素、心理社会因素和医源性因素三大类加以详细讨论。

2、人体可用负熵流

如前所述,影响人体有序状态和生命健康的有三类负熵流:显负熵、潜负熵和隐负熵,下面分别加以讨论。

(1)显负熵流 n0 根据显负熵来源不同,可以把他们划分为四类。

①、从饮食环节获取的显负熵。维持正常生命活动所必需的物质,如蛋白质、脂肪、糖、维生素、矿物质、氧和水等是显负熵的主要来源。这在前面已作了很多讨论,故不再细述。

②从睡眠中获取的显负熵。如前所述,大脑是人体自动控制系统的指挥中心,中枢神经元的基本运动形式是兴奋和抑制。在清醒(兴奋)状态下,我们的说话、思考、记忆、情绪和行为,无不在大脑睡眠物质的作用下,人昏昏欲睡而转入抑制状态。睡眠过程中,外界刺激减少,人体基础代谢率降低,新细胞产生出来以取代旧细胞。“ 清醒状态时,大脑主要是短时记忆传储存器工作,它的储存能力很快耗尽;睡眠中的做梦过程,使用短时记忆得到清理,无用的信息被抹掉,有用的记忆被送到长时记忆储存器,从而使大脑卸下旧的东西,以便接受新的东西。”由此看来,睡眠是一种极为重要的生理有序化过程,因而是负熵流的重要来源之一。

③、从运动中获取的显负熵。适当的运动可以调节神经系统,改善血液环和营养代谢功能,从而增强体质,提高对疾病的抵抗力,因此,运动也能产生负熵流。

④、从医疗途径中获取的显负熵。一般情况下,只要每天保持适当的营养摄入量、正常的睡眠和适度的运动,就可以抵消人体产生的熵增量,保持身体的健康状态。如果饮食、睡眠、运动量不足,人体就会向无序状态演化,机体对外界有害刺激的抵抗力降低,熵增量积累到一定程度,人就会生病。这时单靠补充营养、恢复正常睡眠等非医疗手段不足以清除掉已累积起来的熵,必须靠中西医的各种治疗方法(如药物、手术、理化疗法等)来协助清熵。可见,医疗方法只有在特殊情况下才被采用,作为清除人体熵的辅助工具。

(2)潜负熵 n1 和隐负熵 n2 如果人体长期得不到足够的负熵流的帮助,熵就会逐步积累在体内。“长时间的反复积累,熵的无序性必将侵袭体内的生命分子,例如损伤生命大分子的水化结构,改变蛋白质的正常有序状态,使用权蛋白质分子的正常构型发生畸变,使核酸的复制精度下降等。”这时,不要说靠饮食、睡眠、运动提供的负熵流不能解决问题,即使借助于各种医疗手段产生的负熵流也难以凑效,必须向高级负熵流求助。如前所述,宇宙流中的潜负熵n1 是一种高级负熵流,但是用人为的强制手段与之沟通,既费力又不安全,因而不能广为提倡。宇宙源中的隐负熵n2 则不然,一旦在某人的引导下与之沟通之后,则任何人在极其自然的生活状态下,就能获取这种最高级的负熵流,达到清除体内积熵、恢复健康甚至延年益寿的目的。从这个意义上来说,获取隐负熵有可能成为保持健康和治疗一切疑难病症的最安全、最有效的手段。

可以有把握地说,由于宇宙源远比宇宙流更为稳定和有序,因此,隐负熵n2 的信息量远大于潜负熵n1 ,并且两者是可以单向替代的:传统养生法可以得到n1 ,但不可能得到n2 ;一旦找到了沟通n2的方法,n2就可以转化为n的效应体现出来。有一点必须明确,高级负熵流与显负熵不存在统计意义上的可替代性。也就是说,人体主要靠饮食、睡眠、运动等过程来维持正常生命活动,高级负熵流只起辅助作用(但从保持生命信息畅通的角度来看,高级负熵流又起着决定性的作用)。当然,如果高级负熵流总是保持充盈状态,饮食、睡眠、运动量可以有所减少,但其幅度没有统计意义上的显著性。有些“特异功能者”实践过多少天不吃饭、不睡觉,那也是暂时现象。他们的经历对于正常生活和工作的大众来说,没有多少实际意义。

还有一点需要说明的是,尽管我们说高级负熵流含有极大的信息量,并不间味着人体可用的n1或n2为无穷大,因为人体只能利用其中的有限部分,超过了人体正常生命活动所需的负熵量是没有意义的,将被自动截减掉,式(4—2)中的q值反映了这一点。不过,在一般情况下,由于负熵转换阻力的存在,常常不能获得足够的负熵流。

3、负熵的转换阻力r 与 m

人体在与外界交换物质、能量、信息时会遇到相应的阻力。也就是说,外界的mei通过某种通道“过滤”之后,只有部分能转换成人体可吸收的负熵流。我们用t 与m来描述这种转换能力的高低,有时也称t 与m为转换阻力。

(1)自然转换阻力 r 这是人体系统在进化过程逐渐形成的。例如,食物经过消化、分解之后才能变为人体能吸收和各种营养成份;宇宙流中的潜负熵要经过一层很厚的“过滤层”(即前面提及的负熵阀)才可被人体所利用等。此外,r还与人的中枢神经活动类型、遗传因素有关。

一般情况下,显负熵阻力r0远小于潜负熵阻力r1 ;r1远小于隐负熵阻力r2。

但由于姜老师发现了宇宙源,使隐负熵阻力r2和潜负熵阻力r1一下子减少了许多,从而使每个人有可能在自然生活状态下获取最高级负熵流的有序信息。

(2)附加转换阻力 m  自然转换阻力r只是人体生命活动在自然地运行时所表现出来的阻力。实际生活中,由于各种自然环境因素和社会环境因素的影响。转换中遇到的实际阻力都会比自然阻力大,我们用ma来描述由于各种环境因素影响而增大的转换阻力: frm4-5.jpg

式中,r及r的含义同(4—4)式;b表示单位环境因素影响所增加的阻力。综合上述讨论,我们可以用图4—1来描述人体健康与熵的关系。

第二节 影响人体健康的各种因素

pic4-1.jpg

方程(4—2)为我们揭示了人体健康与各种因素的相互关系。健康人可以调节排熵(提供负熵)速率与产熵速率基本一致,使人体的熵变维持在可以接受的低熵状态。但是,人体是典型的开放系统,它不断与外界环境进行着物质、能量和信息的交换。如果这种交换量恰到好处,人体就保持健康状态;如果交换量过大或过小,超过了机体能够承受的范围,这时人体系统的无序化过程(熵增)就开始了,无序化到一定的程度,就表现为疾病。

一、理想健康状态

假设人体与外界的mei交换恰到好处,各种干扰人体动态平衡的因素都在阈值以下,则外熵m为零, frm4-6.jpg附加转换阻力m也为零,故(4—2)式简化为:
 

上式表明,任何人只要保持适当的饮食、睡眠和一定的运动量,由此产生的显负熵流和在不知不觉中获得的潜负熵流就足以排除掉不可逆熵e,使△s≤0。

二、外熵产生的原因

人体是一个动平衡系统,大脑是这个系统的指挥中心,人体及其指挥中心经常受到客观和主观环境的干扰。当干扰幅度超过了人体系统能承受的阈值时,外熵m也就随之产生。外熵m产生或发展产生或发展的过程。我们把产生外熵的各种干扰因素划分为自然因素、社会心理因素和医源性因素三大类加以讨论。

1、自然环境因素的干扰


  (1)生物因素 如各种病原微生物和寄生虫等
  (2)物理因素 包括各种机械力、高温及低温、大气压力改变、噪声对人体的影响等。这类因素直接作用于组织、细胞而造成损害,起病急,但一般不参与疾病的发展过程,而由其引起的损伤(如组织水肿、坏死出血等)继续其致病作用。
  (3)化学因素 如强酸、强碱、有机磷和生物性毒物等。这类因素的特点是,在体内积累到一定量才引起疾病,还要参与疾病的发展过程。
  (4)饮食因素 缺乏维持正常生命活动所必需的物质,如蛋白质、脂肪、维生素等;摄入过量对身体不利。
  (5)睡眠因素 长时间缺乏一定量的睡眠,使大脑得不到休息而导致生理功能紊乱。
  (6)天气因素 季节、气候的变化对人体产生影响,降低抵御细菌入侵的能力。 此外,大气污染、自然灾害(如温疫流行)等也会诱发疾病的产生。

2、社会心理因素的干扰


  (1)社会因素 人、自然、社会是一个系统,人与社会也是一个系统。社会因素,包括政治、经济、文化、教育、职业、家庭等,在一定条件下都可能致病。社会因素主要是通过一些中介影响而起作用,如经济落后地区环境条件差、营养不良而使患病率上升;家庭的不和、失学或失业、生活节律的紧张等,可能通过情绪中介诱发疾病等。
  (2)心理因素 不良的心理刺激,可使人的心理生理处于紧张状态,对人体新陈代谢产生障碍或破坏。人格素质上的缺陷、损失感、不安全感、对环境的适应能力低下等,都能引起情绪反应和大脑功能的改变,再通过植物神经系统、内分泌系统、神经功能或形态结构的改变,从而导致心理生理疾病的发生。

3、医源性因素的干扰

由于某些原因使得外熵m的值足够大,仅靠饮食、睡眠和运动等提供的负熵流不能解决问题时,人们通常就得求助于各种医疗方法。如果医疗方法运用得不当,就会产生副作用而使外熵增加,出现医源性疾病。“造成医源性疾病的因素是多方面的。有的是由于医学发展水平的局限;有的是因为医务人员责任心不强,工作粗心大意;有的是因为医生的知识和临床经验不足,或思维方法不对头,导致治疗上的失当。此外,医务人员的语言、态度、医院的环境污染等,也是造成医源性疾病的重要方面。”在医源性疾病中,据统计约三分之二是药源性的。造成药源性疾病的原因,常见的有三种情况:
  ①、对患者情况缺乏具体分析,对药物用量掌握不准;
  ②、对各种药物之间的关系考虑不周,配伍不当;
  ③、对药物干扰和损害人体正常功能的问题认识不足。 总之,影响外熵m增大的因素有很多,但概括起来讲就是上述三大类。要想保持人体系统的健康状态,根本的问题就在于采取各种措施尽量防止外熵m的产生,为引进负熵流创造条件。

第三节 健康大法——自然心理社会协调法

根据前面两节的讨论,我们终于可以找到一条通往健康的大道了。

一、与隐负熵沟通

从预防的角度去看,我们只要遵循自然规律而生活,注意季节的变化,保持适当的饮食、睡眠和运动量,同时注重提高自己的人格素质和品德修养,积极、乐观地生活和工作,疾病就会与我们无缘。但是,如果没有按照上述要求去做而产生外熵、积累到一定程度产生疾病时,我们该怎样恢复人体正常生理功能、重建有序状态呢? 一般情况下,我们都是借助于各种医疗手段(即显负熵的一部分,包括药物、手术、理化疗法等)来治疗疾病,有时还不得不依赖于传统气功(即潜负熵n1)的帮助。第一章曾指出,各种医疗手段(包括传统气功)难以满足理想健康法的五标准。由于姜老师沟通了宇宙源中的隐负熵信息n2,使得我们有可能在完全自然的生活状态下,获取最高级负熵流的帮助。与隐负熵n2沟通的方法很简单:只要听辅导老师讲一次课,然后根据个人具体情况,减轻或排除各种主观和客观环境因素的干扰,降低附加转换阻力m,身体就能自动恢复健康。

这样一来,治病的方法就完全简化为防病方法了。也就是说,由于已经沟通了最高级换熵流,我们只要顺应自然规律,积极、乐观地生活就能得到隐负熵的帮助而治疗疾病。

二、隐负熵治病的基本原理

人体所能获取的隐负熵流的大小与自然转换阻力r2和附加转换阻力成反比。如前所述,由于姜老师的重大发现已使得r2大大减少,隐负熵实际上主要受m与外熵m来源于同一渠道,降低外熵m也就是减少附加转换阻力m。导致外熵增大的第三类因素(医源性因素)由于减少了对各种医疗手段的依赖而自动消失,剩下来的就只有自然环境因素和社会心理因素了。

那么,剩下来的这两类因素中,哪一类因素对隐负熵流的影响更大呢?从人体系统来看,任何外来刺激主要是通过两条途径影响身体。一条途径是直接作用于人体系统的有关部位引发疾病;另一个条途径是作用于系统的控制指挥中心-----大脑神经中枢(神经递质系统),再由神经递质系统影响内分泌系统和免疫系统而引发疾病。从隐负熵的沟通原理来看,中枢神经的广泛抑制是必要条件。由于社会心理因素直接对中枢神经系统产生影响,因此,隐负熵流的大小在很大程度上取决于排除社会心理因素干扰能力的大小。疾病可能由自然因素或社会心理因素或这两类因素同进引起,但治病主要靠减轻或排除社会心理因素的干扰,这是我们利用隐负熵治病的一个基本原理。

根据上述讨论,我们终于找到了一条安全、有效、经济、防治结合、身心同健的健康大道:只要在生活和工作中顺应自然规律,保持适当的饮食、睡眠和运动量,从而与自然保持和谐;同时注重提高个体的人格素质和品德修养,积极向上、乐观处世,善于因势利导,为社会多作贡献,从而与社会保持和谐,那么就能获取人生最大的财富----健康。由于这种方法建立在自然、个体(心理)和社会三者相互和谐的基础上,我们称之为自然心理社会协调法。由于这种协调法把人放到整个大自然和社会大系统中去考察,从根本上解决健康、长寿问题,因而可简称为健康大法。

小 结

1、根据耗散结构理论,生命的生长与发育、生命的维持和进化都是在不断地与环境进行物质、能量和信息的交换中实现的。通过这种交换,生命体与自身不断产生的无序化(即熵增大)倾向作斗争。人体的生命过程就是不断产生熵和引进负熵来排出熵的过程。 2、根据普里高津的非平衡态热力学理论,在引进外熵增、负熵转换的自然阻力和附加阻力等概念的基础上,提出了描述人体生命运动与熵相互关系的人体状态方程。该方程揭示出:由于各种因素的影响而使外熵增大、积累到一定程度而致病时,既可以借助于显负熵或潜负熵(如饮食、各种医疗手段及传统气功方法)来治疗,也可以靠沟通隐负熵流来治疗,且后者无任何副作用,易于满足理想健康法五标准;疾病可能由自然因素或社会心理因素或这两类因素同时引起,但通过隐负熵来治病时,主要靠减轻或排除社会心理因素的干扰。这是因为姜老师的发现极大地降低了隐负熵流的自然转换阻力r2,从而使附加转换阻力m的作用显得异常突出(隐负熵对m的变化反应更加敏感),这就为每个人沟通隐负熵指明了努力的方向。 3、人体状态方程具有这样一个特点:它把各种医疗方法的作用都有机地统一在一个方程式中,从而揭示出各种方法都是互补的原理,谁也不要排斥谁,而应该互相取长补短。
返回页首